科幻电影中最愚蠢的设定——当物体达到光速,就能够穿越时空
穿越,可以说是科幻作品中最常用的设定,有不少主旋律是爱情、亲情之类的电影,添加了一个这样的元素,就可以让影片更有味道,当然,这类影片属于软科幻,设定就是为剧情服务,片中也没有多余解释,不必细究。
但是有一些标榜“硬科幻”的电影,在套用“穿越”这种设定的同时,还煞有其事的科普物体达到光速,就会穿越时空等原理,还会乱塞一大堆故弄玄虚的、唯心的概念。让人很难从科学的角度去验证是否合理,只能被迫接受,而且这些设定也并不是什么新概念了。
在平均知识水平提高的21世纪,这种科幻片却还很受好评,甚至个别还被奉为科幻电影中的“圣经”,这无疑不是科普最大的悲哀。
为什么会这么说,因为首先要清楚一点的是,很多会因“穿越”这个元素而兴奋的逻辑基础就是超光速,然而,根据狭义相对论,只要是有质量的物体,都是无法超越光速的,因为越接近光速,质量就会越大。
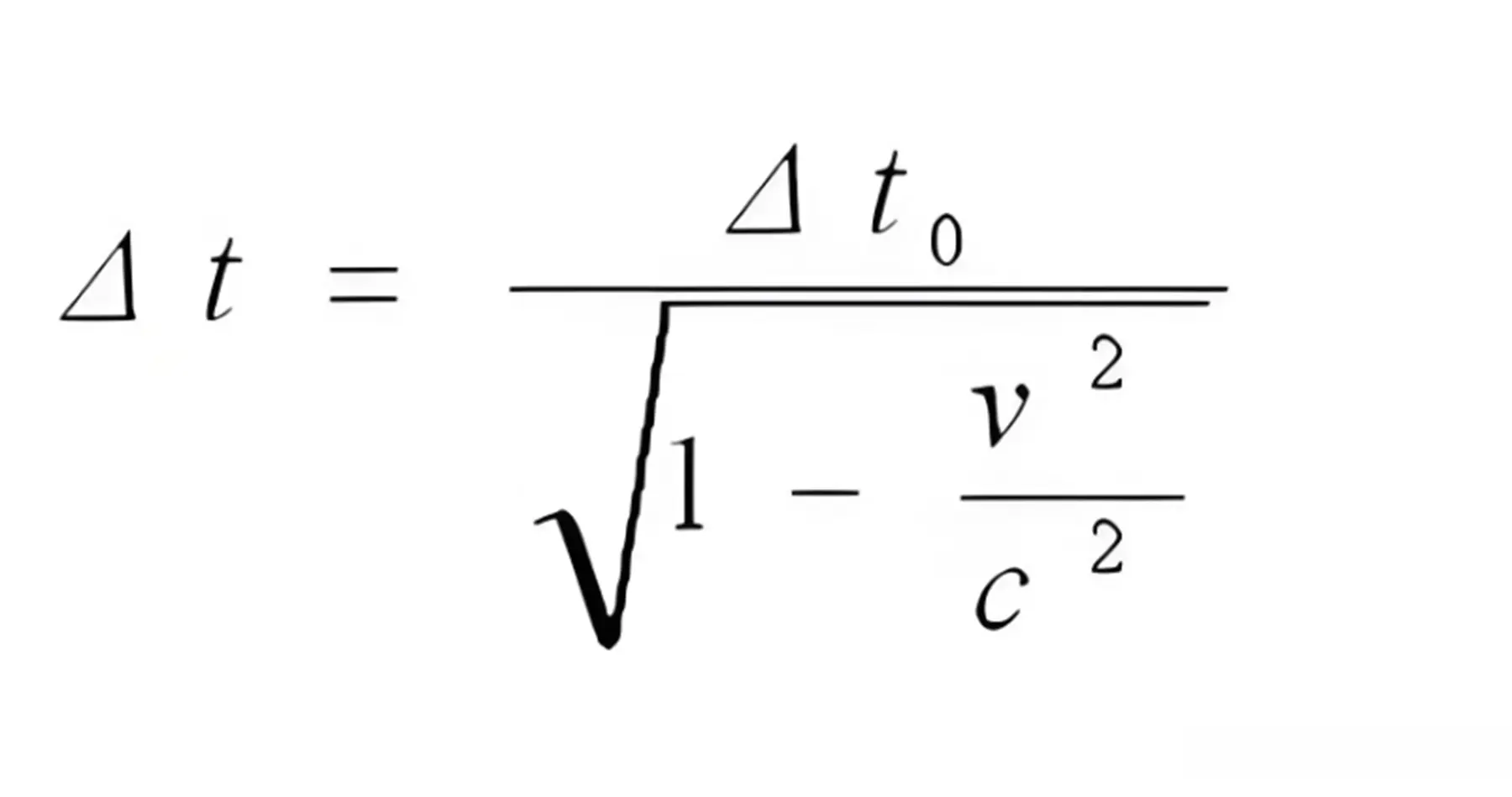
我们可以看一个公式——“E=mc2/sqrt(1-v2/c2”,就是说质量等于m的物体,在以速度v运动时具有的能量。因此可得,质量不为0的物体越接近光速,它所需要施加的速度和力也越来越会向无穷大靠拢,所以超光速是不可能的。
其次,退一万步讲即便超光速实现,然而一旦超光速时间就成了虚数,这里并非指时间本身,而是超光速状态下,时间膨胀公式里的分母成了虚数。
而虚数顾名思义就是一个虚拟中的虚拟的数学概念,如果只在理论领域内怎么玩都可以,但是放到现实中,就不能如同实数一样可以对应真实的物理量,因此时间膨胀公式在现实中就失去了意义,这表明即使速度超过光速,也依旧不能保证一定能穿越时空,而是有可能会达到人类现在还无法理解的物理状态。
当然,超光速并非穿越时空的唯一途径,还有科幻片利用虫洞、五维空间什么的,但是这些概念都是没有通过科学界的实际验证、甚至都没有证据证明存在继而更无法证实其具备穿越时空的功能。
要知道硬科幻电影是要强调科学理论和现实依据的,就算你请科学家来当顾问,也不一定就代表你的电影就有科学依据,比如黑洞,里面是什么详细情况,没人知道;可不可以进行时空穿梭过去未来,也没人敢说有什么科学依据。
其实个人认为,但凡是涉及穿越或联系过去未来的,在如今的科学架构下,都只能算“奇幻”的,因为有许多科学家甚至认为时间根本就不存在,也就更不要谈什么过去未来了。我个人也倾向时间不存在,有的只是事物变化的过程,事实上现在物理学前沿理论已经向时间并非基本存在靠近了。
2024年意大利就有研究表明,时间或许是量子纠缠造成的感知错乱,就好比一帧一帧的图像切换产生的连续性幻觉。宇宙一切物质,都由量子纠缠连接,原子、分子、电子等的纠缠网络持续演化,在宏观上就表达为时间的进程。
这种理论可以揭示了人对时间感觉的物理前提,即人类或许是处于量子系统里的局内观察者,当然要验证就得靠将来量子引力以及跨尺度纠缠探测领域的发展了。
最新资讯
- 2025-12-15补肾生精功
- 2025-11-30北京千余学生到郧阳区开启研学之旅
- 2025-10-25福多邦科技公司成功取得矿山安全生产许可证
- 2025-09-07只可意会,不可言传的6大天机,读不读得懂,全看缘分
- 2025-07-19维权翻车?700万粉网红向魏牌索要“诚意”赔偿,录音炸锅!